Antes de solicitar un préstamo, es importante comprender cómo funcionará el pago del préstamo y cuánto serán los pagos mensuales. Con los préstamos amortizados cada pago se divide en un pago de intereses y un pago de principal. El modelo de pago variará según el tipo de método de amortización que siga tu préstamo.
Conoce los distintos métodos de amortización de créditos que existen, cómo funcionan y todas sus características. Te contamos todo lo que necesitas saber antes de solicitar un préstamo de este tipo.
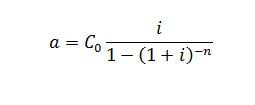
Sistema de Amortización Francés
El sistema de amortización francés, también conocido como el método clásico o progresivo, es aquel por el cual el prestatario se compromete a pagar cuotas constantes. Es el método más utilizado y popular, por ejemplo, para calcular las cuotas en las hipotecas.
En este siempre se paga una cuota fija, si el préstamo se concedió a tipo de interés fijo. Por el contrario, si el interés es variable, por norma general se paga el interés interbancario de referencia de cada país.
Los intereses disminuyen a medida que pasan los períodos de préstamo y los aumentos de capital amortizado en cada nuevo período. Un ejemplo claro de esto son las hipotecas, puesto que al comienzo se pagan interés, pero estos van decreciendo a lo largo de las cuotas.
La fórmula matemática de la anualidad de este sistema es bastante sencilla, pudiendo hacer los cálculos con una hoja de cálculo como Excel. La fórmula para calcular la cuota final y los tipos de interés según el capital que se debe amortizar es:


Donde:
- a: cuota periódica constante
- Co: cantidad del préstamo
- i: tipo de interés anual del préstamo (siguiente fórmula)
- n: número de períodos
I (p – 1, p) = i . V (p – 1)
Donde:
- I (p – 1, p): tipo de interés del período
- i: tipo de interés
- V (p – 1): Capital del préstamo hipotecario pendiente de amortizar
Sistema de Amortización Alemán
El sistema de amortización alemán se caracteriza por ser una variante del sistema francés, pero con algunas diferencias en los términos de amortización. Este tipo de método liquida menos intereses en los primeros años de vida. Sin embargo, los intereses se incrementan más en los finales.
Esta es una excelente alternativa si tienes planificado realizar pagos anticipados. Destaca porque la amortización es constante, esto significa que, al llegar a la mitad del plazo, se consigue saldar la mitad de la deuda.
Este sistema también es bastante popular, utilizado en muchos préstamos hipotecarios, aunque algo menos que el francés. Para saber el importe de la cuota es necesario utilizar esta fórmula:


- a: cuota periódica constante
- Co: cantidad del capital prestado
- i: tipo de interés anual del préstamo
- n: número de períodos
Además, a partir de la cuota, es posible calcular:
- Capital amortizado: Ak = a – Ik
- Interés: Ik = Ck . i
- Capital amortizado acumulado: mk = Co – Ck -1
- Capital vivo: Ck = Ck – 1 – Ak
Sistema de Amortización Americano
El sistema de amortización americano se caracteriza principalmente porque se devuelven los intereses (mensualmente, trimestralmente…) y el principal se efectúa en un solo pago al vencimiento. Es decir, exclusivamente se amortiza el capital al finalizar el préstamo.
Este método es donde más intereses se suelen pagar, no obstante, permite la modalidad Sinking Fund. Esto significa que el prestatario puede hacer aportaciones de forma periódica a un fondo para construir un capital que cancelará el préstamo en la fecha de vencimiento. Esta modalidad es bastante útil, puesto que ayuda a evitar tener que realizar un elevado pago final.
En este sistema no se amortiza el capital. Por lo tanto, la cuota que se debe pagar coincide con el interés de cada período. Este se calcula con las siguientes fórmulas:
a = I = Co . i
a´ = Co + I
Donde:
- a: Cuota periódica constante de intereses.
- a´: Cuota del último año
- I: Intereses del período
- Co: cantidad dinero prestado
- i: Tipo de interés
Sistema de Amortización Italiano (o método de amortización constante de capital)
El sistema de amortización italiano, también conocido como amortización constante de capital, consiste en aquellos préstamos en los que el prestatario se compromete a pagar cuotas de capital constante en cada periodo. De este modo, la cantidad de intereses y la cuota periódica varía en cada pago.
Este método incluye una parte constante del dinero prestado en la cuota a pagar. Por lo tanto, lo que varía son los intereses y la cuota. Este es uno de los sistemas menos populares de los mencionados, pero es bastante utilizado en las tarjetas de crédito.
Método Creciente
El método creciente de amortización es un sistema en el que la cuota total tiene una tendencia en alta. Es decir, las cuotas son cada vez mayores con el paso del tiempo. Los primeros años del préstamo el activo se deprecia mediante un gasto menor que en los años siguientes.
Método Decreciente
El método decreciente es inverso a la creciente, puesto que se caracteriza por contar con cuotas de amortización menores con el paso del tiempo. Es bastante usado en los bienes en los que la obsolescencia es elevada, como por ejemplo, los ordenadores de una oficina.








